Rangkaian Arus Bolak-Balik Terlengkap
Rangkaian Arus Bolak-Balik Terlengkap

Rangkaian Arus Bolak-Balik
Dalam kehidupan sehari-hari kita jumpai alat-alat seperti dinamo sepeda dan generator. Kedua alat tersebut merupakan sumber arus dan tegangan listrik bolak-balik. Arus bolak-balik atau alternating current (AC) adalah arus dan tegangan listrik yang besarnya berubah terhadap waktu dan dapat mengalir dalam dua arah. Arus bolakbalik (AC) digunakan secara luas untuk penerangan maupun peralatan elektronik. Dalam bab ini kita akan membahas mengenai hambatan, induktor, dan kapasitor dalam rangkaian arus bolak-balik.
A. Rangkaian Arus Bolak Balik
Sumber arus bolak-balik adalah generator arus bolak-balik yang prinsip kerjanya pada perputaran kumparan dengan kecepatan sudut ? yang berada di dalam medan magnetik. Sumber ggl bolak-balik tersebut akan menghasilkan tegangan sinusoida berfrekuensi f. Dalam suatu rangkaian listrik, simbol untuk sebuah sumber tegangan gerak elektrik bolak-balik adalah :
Tegangan sinusoida dapat dituliskan dalam bentuk persamaan tegangan sebagai fungsi waktu, yaitu:
V = Vm.sin 2p.f.t .................................................. (1)
Tegangan yang dihasilkan oleh suatu generator listrik berbentuk sinusoida. Dengan demikian, arus yang dihasilkan juga sinusoida yang mengikuti persamaan:
I = Im.sin 2p.f.t .................................................... (2)
dengan Im adalah arus puncak dan t adalah waktu.
Untuk menyatakan perubahan yang dialami arus dan tegangan secara sinusoida, dapat dilakukan dengan menggunakan sebuah diagram vektor yang berotasi, yang disebut diagram fasor. Istilah fasor menyatakan vektor berputar yang mewakili besaran yang berubah-ubah secara sinusoida. Panjang vektor menunjukkan amplitudo besaran, dan vektor ini dibayangkan berputar dengan kecepatan sudut yang besarnya sama dengan frekuensi sudut besaran. Sehingga, nilai sesaat besaran ditunjukkan oleh proyeksinya pada sumbu tetap. Cara ini baik sekali untuk menunjukkan sudut fase antara dua besaran. Sudut fase ini ditampilkan pada sebuah diagram sebagai sudut antara fasor-fasornya.
Materi Fisika :
Generator pada pusat pembangkit listrik modern tidak menghasilkan listrik pada tegangan tinggi yang mencukupi untuk transmisi yang efisien. Tegangan dinaikkan dengan transformator step-up supaya transmisi jarak jauh menjadi efisien.
Gambar 2. Diagram fasor arus dan tegangan berfase sama.
Gambar 2. memperlihatkan diagram fasor untuk arus sinusoida dan tegangan sinusoida yang berfase sama yang dirumuskan pada persamaan (1) dan (2). Ketika di kelas X kita telah mempelajari dan mengetahui bahwa:

yang menyatakan akar kuadrat rata-rata tegangan. Dan akar kuadrat rata-rata arus, yang dirumuskan:

Nilai rms dari arus dan tegangan tersebut kadang-kadang disebut sebagai “nilai efektif ”.
1. Rangkaian Resistor
Gambar 3(a) memperlihatkan sebuah rangkaian yang hanya memiliki sebuah elemen penghambat dan generator arus bolak-balik.
Gambar 3. (a) Rangkaian dengan sebuah elemen penghambat (b) Arus berfase sama dengan tegangan (c) Diagram fasor arus dan tegangan.Karena kuat arusnya nol pada saat tegangannya nol, dan arus mencapai puncak ketika tegangan juga mencapainya, dapat dikatakan bahwa arus dan tegangan sefase (Gambar 3(b)). Sementara itu, Gambar 3(c) memperlihatkan diagram fasor arus dan tegangan yang sefase. Tanda panah pada sumbu vertikal adalah nilai-nlai sesaat. Pada rangkaian resistor berlaku hubungan:
VR = Vm .sin 2p .f.t
VR = Vm .sin ?t ....................................................... (5)
Jadi,
IR = VR/R = (Vm/R) sin ?t
IR = Im.sin ?t ......................................................... (6)
Sehingga, pada rangkaian resistor juga akan berlaku hubungan sebagai berikut:

Contoh Soal 1 :

Dalam rangkaian AC seperti yang diperlihatkan pada gambar, R = 40O, Vm = 100 V, dan frekuensi generator f = 50 Hz. Dianggap tegangan pada ujung-ujung resistor VR = 0 ketika t = 0. Tentukan:
a. arus maksimum,
b. frekuensi sudut generator,
c. arus melalui resistor pada t = 1/75 s
d. arus melalui resistor pada t = 1/150 s
Penyelesaian:
a. Rangkaian resistor murni, Im dapat dicari dengan persamaan:
Im = Vm/R = 100/40 = 2,5 A
b. Frekuensi sudut anguler (?)
? = 2. p .f = 2. p .50 = 100 p
c. Untuk rangkaian resistor murni, tegangan sefase dengan arus, sehingga untuk V = Vm.sin ?t, maka I = Im.sin ?t. Persamaan arus sesaat yaitu:
I(t) = Im.sin ?t = 2,5 sin ?t

2. Rangkaian Induktif
Gambar 4. (a) Rangkaian induktif (b) Arus berbeda fase dengan tegangan (c) Diagram fasor arus dan tegangan yang berbeda fase.
Gambar 4. memperlihatkan sebuah rangkaian yang hanya mengandung sebuah elemen induktif. Pada rangkaian induktif, berlaku hubungan:

Tegangan pada induktor VL setara dengan tegangan sumber V, jadi dari persamaan (9) dan (10) akan diperoleh:

diketahui bahwa :

maka,

Jika ?L = 2p fL didefinisikan sebagai reaktansi induktif (XL), maka dalam suatu rangkaian induktif berlaku hubungan sebagai berikut:

Perbandingan persamaan (10) dan (12) memperlihatkan bahwa nilai VL dan IL yang berubah-ubah terhadap waktu mempunyai perbedaan fase sebesar seperempat siklus. Hal ini terlihat pada Gambar 4(b), yang merupakan grafik dari persamaan (10) dan (12).
Dari gambar terlihat bahwa VL mendahului IL, yaitu dengan berlalunya waktu, maka VL mencapai maksimumnya sebelum IL mencapai maksimum, selama seperempat siklus. Sementara itu, pada Gambar 4(c), pada waktu fasor berotasi di dalam arah yang berlawanan dengan arah perputaran jarum jam, maka terlihat jelas bahwa fasor VL,m mendahului fasor IL,m selama seperempat siklus.
Contoh Soal 2 :

Sebuah induktor 0,2 henry dipasang pada sumber tegangan arus bolak-balik, V = (200. sin 200t) volt. Tentukan persamaan arus yang mengalir pada rangkaian tersebut!
Penyelesaian:
Diketahui:
V = (200 sin 200t) volt
L = 0,2 H
Ditanya: I = ... ?
Pembahasan :
V = Vm.sin?t
V = 200.sin 200t
Dari persamaan diketahui Vm = 200 volt dan ?= 200 rad/s, maka:
XL = ?.L= (200)(0,2)
XL = 40O
Im = Vm / XL = 200 / 40 = 5 A
Dalam rangkaian ini arus tertinggal p/2rad terhadap tegangan, sehingga:

3. Rangkaian Kapasitor
Gambar 5. Macam-macam kapasitor. [2]
Gambar 6. memperlihatkan sebuah rangkaian yang hanya terdiri atas sebuah elemen kapasitif dan generator AC. Pada rangkaian tersebut berlaku hubungan:
Vc = V = Vm.sin ?t ................................................. (15)
Dari definisi C diperoleh hubungan bahwa VC = Q/C, maka akan diperoleh:
Q = C.Vm.sin ?t
atau
IC = dQ/dt = ?.C.Vm.cos ?t ...................................... (16)
Diketahui bahwa :

maka akan diperoleh:

Jika didefinisikan sebuah reaktansi kapasitif (XC), adalah setara dengan 1/?.C atau 1/2 p.f.C, maka dalam sebuah rangkaian kapasitif akan berlaku hubungan sebagai berikut:

Persamaan (15) dan (16) menunjukkan bahwa nilai VC dan LC yang berubah-ubah terhadap waktu adalah berbeda fase sebesar seperempat siklus. Hal ini dapat terlihat pada Gambar 6(b), yaitu VC mencapai maksimumnya setelah IC mencapai maksimum, selama seperempat siklus. Hal serupa juga diperlihatkan pada Gambar 6(c), yaitu sewaktu fasor berotasi di dalam arah yang dianggap berlawanan dengan arah perputaran jarum jam, maka terlihat jelas bahwa fasor VC,m tertinggal terhadap fasor IC,m elama seperempat siklus.
Gambar 6. (a) Rangkaian kapasitif (b) Perbedaan potensial kapasitor terhadap arus (c) Diagram fasor rangkaian kapasitif.
Contoh Soal 2 :
Sebuah kapasitor 50 µF dihubungkan dengan sumber tegangan arus bolak-balik. Arus yang mengalir pada rangkaian adalah I = (4.sin 100t) A. Tentukan persamaan tegangan pada kapasitor itu!
Penyelesaian:
Diketahui:
C = 50 µF = 5 × 10-5 F
I = (4.sin 100t) A
Ditanya: Persamaan tegangan, V = ...?
Pembahasan :
I = (Im.sin ? ) A
I = (4.sin100t) A
maka, Im = 4 A, dan ? = 100 rad/s

Percobaan Sederhana / Praktikum Fisika 1 :
Tujuan : Mengetahui rangkaian kapasitor dan listrik bolak-balik.
Alat dan bahan : Trafo adaptor, kabel penghubung, kapasitor, amperemeter, voltmeter, dan CRO.
Cara Kerja :

Rangkailah alat dan bahan secara seri sesuai gambar.Bacalah nilai beda potensial pada kapasitor dengan voltmeter yang tersedia.Gambarkan bentuk VC yang ditampilkan oleh CRO.Bacalah nilai beda potensial pada kapasitor dengan CRO yang tersedia.Carilah harga efektif berdasarkan pembacaan CRO.Ulangilah langkah 2 - 4 untuk berbagai jenis kapasitor berdasarkan kapasitasnya.Carilah harga impedansi induktor bilamana f = 60 Hz berdasarkan harga kapasitansi yang tercantum pada kapasitor.Catatlah hasil percobaan dengan mengikuti format tabel berikut ini.

Diskusi :
Gambarkanlah bentuk grafik yang ditampilkan oleh rangkaian kapasitor sederhana sesuai dengan percobaan!Berapakah VC efektifnya?Apakah nilai XC = 1/2 p.f.C = VC/IR ?Tulislah kesimpulan dari percobaan yang telah kalian lakukan!
4. Rangkaian Seri RLC
Pada bagian sebelumnya telah dibahas mengenai rangkaian-rangkaian R, C, dan L yang dihubungkan terpisah. Maka pada bagian ini kita akan membahas sebuah rangkaian seri yang di dalamnya terdapat ketiga elemen tersebut, yang sering disebut rangkaian seri RLC, seperti ditunjukkan pada Gambar 7.
Gambar 7. Rangkaian seri RLC.
Berdasarkan persamaan (1), tegangan gerak elektrik untuk Gambar 7. diberikan oleh persamaan:
V = Vm.sin ? .................................................... (20)
Arus (tunggal) di dalam rangkaian tersebut adalah:
I = Im.sin (? - f) .............................................. (21)
Dengan ? adalah frekuensi sudut tegangan gerak elektrik bolak-balik pada persamaan (20). Im adalah amplitudo arus dan f menyatakan sudut fase di antara arus bolak-balik pada persamaan (21) dan tegangan gerak elektrik pada persamaan (20). Pada Gambar 7.7 tersebut akan berlaku persamaan:
V = VR + VC + VL .................................................... (22)
Setiap parameter merupakan kuantitas-kuantitas yang berubah-ubah terhadap waktu secara sinusoida. Diagram fasor yang diperlihatkan pada Gambar 8. menunjukkan nilai-nilai maksimum dari I, VR, VC, dan VL.
Gambar 8. Diagram fasor yang bersesuain dengan gambar 7.Proyeksi-proyeksi fasor pada sumbu vertikal adalah sama dengan V, seperti yang dinyatakan pada persamaan (22).
Sebaliknya, dinyatakan bahwa jumlah vektor dari amplitudo-amplitudo fasor VR,m, VC,m, dan VL,m menghasilkan sebuah fasor yang amplitudonya adalah V pada persamaan (20). Proyeksi Vm pada sumbu vertikal, merupakan V dari persamaan (20) yang berubah terhadap waktu.
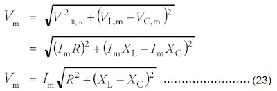
Gambar 9. Diagram fasor memperlihatkan hubungan antara V dan I pada persamaan 20 dan 21.Kita dapat menentukan Vm pada Gambar 9, yang di dalamnya telah terbentuk fasor VL,m - VC,m. Fasor tersebut tegak lurus pada VR,m, sehingga akan diperoleh:

Kuantitas yang mengalikan Im disebut impedansi (Z) rangkaian pada Gambar 7. Jadi, dapat dituliskan:
Im = Vm/Z ............................................................... (24)
Diketahui bahwa XL = ?L dan XC = 1/?C. Maka dari persamaan (23) dan (24) akan diperoleh:

Untuk menentukan sudut fase f di antara I dan V, dapat dilakukan dengan membandingkan persamaan (20) dan (21). Dari Gambar 7. dapat kita tentukan bahwa sudut f dinyatakan:

Pada Gambar 9. menunjukkan nilai XL > XC, yaitu bahwa rangkaian seri dari Gambar 7. lebih bersifat induktif daripada bersifat kapasitif. Pada keadaan ini Vm mendahului Im (walaupun tidak sebanyak seperempat siklus seperti pada rangkaian induktif murni dari Gambar 3. Sudut fase f pada persamaan (26) adalah positif.
Tetapi, jika XC > XL, maka rangkaian tersebut akan lebih bersifat kapasitif daripada bersifat induktif, dan Vm akan tertinggal terhadap Im (walaupun tidak sebanyak seperempat siklus seperti pada rangkaian kapasitif murni).
Berdasarkan perubahan ini, maka sudut f pada persamaan (26) akan menjadi negatif.
Contoh Soal 3 :

Rangkaian seri RLC, dengan masing-masing R = 30O, L = 0,6 H, dan C = 500 µF dipasang pada sumber tegangan bolak-balik dengan V = (200. sin 100t) volt. Tentukan:
a. impedansi rangkaian,
b. persamaan arus pada rangkaian!
Penyelesaian:
Diketahui:
Rangkaian seri RLC
R = 30O ,
L = 0,6 H,
C = 500 µF = 5 ×10-4 F
V = (200.sin 100t) volt
Ditanyakan:
a. Z = ... ?
b. Persamaan I = ... ?
Pembahasan :
a. V = Vm.sin ?t
Vm = 200
V = (200 sin 100t) volt
? = 100 rad/s
XL = ?t = (100)(0,6) = 60 O

b. Im = Vm/Z = 200/40 = 4 A
XL > XC, rangkaian bersifat induktif atau tegangan mendahului arus dengan beda fase 0.

Contoh Soal 4 :
Hambatan R, induktor L, dan kapasitor C, masing-masing mempunyai nilai 300O ; 0,9 H; dan 2 µF . Ketiga komponen listrik tersebut dihubungkan seri dan diberi tegangan efektif AC sebesar 50 volt dengan kecepatan sudut 1.000 rad/s. Tentukan:
a. impedansi rangkaian, c. tegangan pada L,
b. arus efektif rangkaian, d. tegangan pada C!
Penyelesaian:
Diketahui:
R = 300 O
L = 0,9 H
C = 2 µF = 2 × 10-6 F
Vef = 50 V
? = 1.000 rad/s
Ditanya:
a. Z = ... ?
b. Ief = ... ?
c. VL = ... ?
d. VC = ... ?
Jawab:

b. Arus efektif
Ief = V/Z = 50 V / 500 O = 0,1 A
c. VL = I . XL = (0,1 A)(900 O ) = 90 volt
d. VC = I . XC = (0,1 A)(500 O ) = 50 volt
Percobaan Sederhana / Praktikum Fisika 1 :
Tujuan : Mengetahui rangkaian seri RLC.
Alat dan bahan : Trafo adaptor, kabel penghubung, resistor, induktor, kapasitor, amperemeter, voltmeter, dan CRO.
Cara Kerja :

Rangkailah sebuah rangkaian seri sesuai dengan gambar di samping.Bacalah nilai beda potensial pada resistor, induktor, dan kapasitor dengan voltmeter yang tersedia.Gambarlah bentuk grafik VR, VL, dan VC yang ditampilkan CRO.Bacalah nilai beda potensial pada resistor, induktor, dan kapasitor dengan CRO yang tersedia.Carilah harga efektif berdasarkan pembacaan CRO.Ulangilah langkah 2 - 5 untuk berbagai jenis resistor, induktor, dan kapasitor berdasarkan harganya.Carilah nilai impedansi rangkaian.
Diskusi :
Apakah fase dari ketiga beda potensial pada R, L, dan C adalah sama? Mengapa demikian?Jelaskan yang dimaksud impedansi rangkaian seri!Tulislah kesimpulan dari percobaan yang telah kalian lakukan!
B. Daya pada Rangkaian Arus Bolak Balik
Daya sesaat pada sebuah rangkaian seperti yang terlihat pada rangkaian seri RLC seperti ditunjukkan Gambar 7. dirumuskan:
P(t) = V(t) . I(t)
P(t) = (Vm.sin ?t)(Im.sin (?t – f)) .......................... (27)
Jika kita mengekspansikan faktor sin (?t - f) menurut sebuah identitas trigonometri, maka diperoleh:
P(t) = (VmIm)(sin ?t )(sin ?t cos f – cos ?t sin f )
P(t) = VmImsin2 ?t cos f –VmImsin ?t cos ?t sin f ..... (28)
Nilai sin2?t = 1/2 dan sin ?t cos ?t = 0, maka dari persamaan (28) kita dapat mencari P(t) = Pav yaitu:
Pav = ½ VmImcos f + 0 .......................................... (29)
diketahui :

maka persamaan (29) menjadi:
Pav = Vrms .Irms cos f ................................................ (30)
Dengan cos f menyatakan faktor daya. Untuk kasus seperti pada Gambar 3, memperlihatkan sebuah beban hambat murni, dengan f = 0, sehingga persamaan (30) menjadi:
Pav = Vrms.Irms ...................................................... (31)
Contoh Soal 6 :

Sumber tegangan bolak-balik dengan V = (100 sin1.000t) volt, dihubungkan dengan rangkaian seri RLC seperti gambar. Bila R = 400O , C = 5 µF , dan L = 0,5 H, tentukan daya pada rangkaian!
Penyelesaian:
Diketahui:
V = (100.sin 1000t) volt
R = 400O
C = 5 µF = 5 × 10-6 F
L = 0,5 H
Ditanya: P = ... ?
Pembahasan :
Menentukan impedansi rangkaian Persamaan umum :
V = Vm. sin?t
V = (100. sin 1000t) volt
maka,
Vm = 100 volt
? = 1.000 rad/s
XL = ?.L = (1.000 rad/s)(0,5 H) = 500 O

Kuat arus, I = Vm/Z = 100/500 = 0,2 A
Faktor daya, f = 400/500 = 0,8 = 37o
Dayanya, P = Vm.Im.cos f = (100)(0,2)(0,8) = 16 watt
C. Resonansi pada Rangkaian Arus Bolak Balik
Gambar 10. Resonansi dalam rangkaian RLC untuk tiga nilai R berbeda.
Rangkaian RLC pada Gambar 7. memiliki suatu frekuensi alami dari osilasi, dan menganggap pada rangkaian tersebut bekerja suatu pengaruh luar, yang di dalam kasus ini adalah tegangan gerak elektrik bolak-balik yang diberikan dalam persamaan V = Vm.sin ?t, dengan ? adalah frekuensi sudut dari gaya penggerak. Respons maksimum, Irms, terjadi bila frekuensi sudut ? dari gaya penggerak tersebut persis menyamai frekuensi alami ?0 dari osilasi untuk osilasi bebas dari rangkaian tersebut.
Nilai maksimum Irms terjadi bila XL = XC dan mempunyai:
Irms, maks= Vrms/R ......................................................... (32)
Irms hanya dibatasi oleh resistansi rangkaian. Jika
R ? 0 , Irms, maks ? 8
Dengan memanfaatkan bahwa XL = XC, maka:

Nilai menyatakan sudut alami ?0 untuk rangkaian dari Gambar 7., yaitu nilai Irms maksimum terjadi jika frekuensi ? dari gaya penggerak adalah tepat sama dengan frekuensi alami ?0, yang dinyatakan:
? = ?0 ................................................................... (34)
Kondisi pada persamaan (34) disebut resonansi. Resonansi pada rangkaian RLC dari Gambar 7. ditunjukkan oleh Gambar 8, di mana grafik hubungan Irms terhadap ? untuk nilai-nilai Vm, C, dan L yang tetap terjadi tetapi untuk tiga nilai R yang berlainan. Dalam kehidupan sehari-hari kita menerapkan prinsip ini pada saat menyetel sebuah radio. Dengan memutar kenop (tombol), kita menyesuaikan frekuensi alami ?0 ari sebuah rangkaian dalam radio dengan frekuensi ? dari sinyal yang dipancarkan oleh antena stasiun, sampai persamaan (34) terpenuhi.
Contoh Soal 7 :
Hitunglah frekuensi resonansi dari sebuah rangkaian dengan hambatan yang diabaikan mengandung induktansi 40 mH dan kapasitansi 600 pF!
Penyelesaian:
Diketahui:
L = 40 mH = 40 × 10-3 H
C = 600 pF = 600 × 10-12 F
Ditanyakan: f0 = ...?

Materi Fisika :
Memilih Gelombang Radio
Gambar 3. Radio. [3]
Dalam rangkaian sebuah radio penerima, kapasitor dapat berfungsi sebagai pemilih gelombang radio. Suatu nilai kapasitansi tertentu berhubungan dengan dengan panjang gelombang radio yang diterima radio. Nilai kapasitansi pada kapasitor dalam rangkaian sebuah radio dapat diubah. kapasitor yang memiliki nilai kapasitansi yang dapat diubah disebut kapasitor variabel.

0 Response to "Rangkaian Arus Bolak-Balik Terlengkap"
Posting Komentar